Журнал «Травма» Том 26, №5, 2025
Вернуться к номеру
Аналіз функціонального стану пацієнтів з переломами кульшової западини після ендопротезування в різні терміни після травми
Авторы: Бондаренко С.Є. (1), Ватаманіца Д.Б. (1), Карпінська О.Д. (1), Козлова Т.В. (2), Бузницький Р.І. (3)
(1) - ДУ «Інститут патології хребта та суглобів імені професора М.І. Ситенка НАМН України», м. Харків, Україна
(2) - Харківський національний університет імені В.Н. Каразіна, м. Харків, Україна
(3) - Харківський національний медичний університет, м. Харків, Україна
Рубрики: Травматология и ортопедия
Разделы: Клинические исследования
Версия для печати
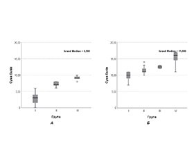
Актуальність. У ретроспективному когортному дослідженні проаналізовано функціональний стан пацієнтів з переломами кульшової западини після ендопротезування в різні терміни після травми. Матеріали та методи. За Merle d’Aubign Hip Score було оцінено функціональний стан 4 груп пацієнтів: у І групі (n = 28) протезування проводили у перші 2 роки після травми у зв’язку з ускладненням металоостеосинтезу зони перелому; у ІІ групі (n = 18) протезування виконали у період від 2 до 10 років через ускладнення після остеосинтезу, переважно у вигляді розвитку дегенеративних змін кульшового суглоба; пацієнти ІІІ групи (n = 8) перенесли протезування кульшового суглоба через 10 і більше років, основною причиною були вікові дегенеративні захворювання; до IV групи (n = 8) віднесені пацієнти, яким ендопротезування було зроблено одразу після травми. Порівняння між групами виконували за допомогою медіанного тесту для k-вибірок. Порівняння станів до та після ендопротезування проводили методом рангового критерію Wilcoxon (W, p). Результати. Проведення комбінованого ендопротезування у найближчі терміни після травми (IV група) дає відмінні результати, у пацієнтів практично не відмічається біль, поліпшується мобільність суглоба та здатність ходити. Пацієнти, у яких виникли ускладнення остеосинтезу у вигляді рецидиву вивиху, анкілоз або значне обмеження рухів, незрощення перелому (І група), потребували комбінованого ендопротезування кульшового суглоба. Через те, що стан суглоба у цих пацієнтів оцінювався як поганий, результати ендопротезування також були не найкращими. Пацієнти ІІ та ІІІ груп потребували ендопротезування кульшового суглоба переважно через розвиток вторинних дегенеративних змін, тобто їхній стан до артропластики можна порівняти зі станом звичайних пацієнтів з коксартрозом і асептичним артрозом. Результат ендопротезування пацієнтів ІІ групи переважно залежав від стану кульшової западини, тобто її здатності тримати навантаження, деяким пацієнтам було проведено комбіноване ендопротезування зі встановленням чашки. У ІІІ групі результати лікування перелому можна вважати гарними, тому ендопротезування кульшового суглоба через 10 і більше років після травми не потребувало особливих підходів. Висновки. За даними проведеного дослідження було доведено, що ендопротезування кульшового суглоба у пацієнтів з переломом кульшової западини у найближчі часи після травми сприяє швидкому одужанню пацієнтів без розвитку ускладнень. Артропластика, яка викликана ускладненням металоостеосинтезу, призводить до зниження функціональності суглоба порівняно з раннім ендопротезуванням.
Background. A retrospective cohort study analyzed the functional state of patients with acetabular fractures after arthroplasty at different times after injury. Materials and methods. The functional state of 4 groups of patients was assessed using the Merle d’Aubign Hip Score: group I (n = 28) underwent arthroplasty in the first 2 years after the injury due to complications of osteosynthesis of the fracture zone, group II (n = 18) had arthroplasty in the period from 2 to 10 years due to complications after osteosynthesis, mainly in the form of degenerative changes in the hip joint, group III (n = 8) underwent hip arthroplasty after 10 or more years, with the main reason being age-related degenerative diseases; group IV (n = 8) included patients who underwent arthroplasty immediately after the injury. Comparisons between groups were performed using the median test for k-samples. Comparisons of states before and after arthroplasty were performed using the Wilcoxon rank criterion (W, p). Results. Combined hip arthroplasty in the immediate post-traumatic period (group IV) gives excellent results, the patients have practically no pain, joint mobility and walking ability improve. Patients who had complications of osteosynthesis in the form of recurrent dislocation, ankylosis or significant limitation of movements, non-union of the fracture (group I) required combined hip arthroplasty. Since the condition of the joint in these patients was assessed as poor, the results of the arthroplasty were also not the best. Patients in groups II and III required hip arthroplasty mainly due to the development of secondary degenerative changes, i.e. their condition before arthroplasty can be compared to the condition of ordinary patients with coxarthrosis and aseptic arthrosis. The result of arthroplasty in group II mainly depended on the condition of the acetabulum, i.e. its ability to hold the load, some patients underwent combined arthroplasty with the installation of a cup. In group III, the outcome of fracture treatment can be considered good, therefore, hip arthroplasty 10 or more years after the injury did not require special approaches. Conclusions. According to the data of the conducted study, it was proven that hip arthroplasty shortly after the injury in patients with acetabular fracture contributes to the rapid recovery without the development of complications. Arthroplasty caused by a complication of osteosynthesis leads to a decrease in the joint functionality compared to early arthroplasty.
перелом кульшової западини; ендопротезування; ускладнення
acetabular fracture; arthroplasty; complications
